서 론
국내 시설원예 산업은 원예작물의 주년·안정 생산에 대한 기술을 발전시키면서 생산성을 향상시키는 데 주력 하고 있다. 저온기와 고온기 온도 관리 전략은 시설원예 작물의 안정생산을 위해서는 필수적이며, 시설 구조개선, 자재 및 장치 등을 활용하여 시설 내 적정온도를 유지 하고자 많은 노력을 기울여 왔다.
일반적으로 식물은 개화와 착과에 있어 온도와 같은 환경의 영향을 많이 받게 되고(Al-Faraj 등, 2001), 특히 높은 기온에서는 낙화현상 뿐 아니라 호르몬 불균형 현 상이 발생된다(Ofir 등, 1993). 고온으로 인해 엽온이 상 승하게 되면, 기공 전도도가 감소하고, 증산 작용에 영 향을 줌으로써 작물의 양·수분 흡수 및 효율을 저하시 킬 수 있다(Al-Faraj 등, 2001). 또한 작물 생육에 있어 지상부를 둘러싸는 대기 뿐 아니라 지하부에 존재하는 근권온도 역시 생육 적온 범위를 넘어가게 되면 양·수 분 흡수가 저해되는 것으로 알려져 있다(Lee, 2009).
고온기 온도하강 수단으로는 복사광의 차광, 환기, 냉방 기기의 이용, 증발냉각, 지붕 살수 등이 있다(Lee, 2009). 최근에는 공기열 히트펌트, 지열시스템 등 냉방 시설을 도입하여 고온 극복을 적극적으로 시도하고 있다. 그러나 온실 전체 냉방은 냉방부하가 상대적으로 크고, 시설 내 냉방 시설을 도입하는 초기 비용과 에너지 소모량에 다른 운영 비중이 높아 작물 생육에 적합한 온도로 온실 환경 을 유지하는 데는 어려움이 많다. 따라서 온실 전체를 냉 방하는 것보다는 부분 냉방 방식이 더 경제적일 수 있다 (Lee 등, 2002; Morgan, 2011). 유공덕트와 열교환기를 이 용하거나 XL 파이프 등을 이용한 지하수 환류 방식을 이 용한 국소냉방 방식으로 고온기 작물을 재배하였을 때 근 권온도 하강과 함께 작물 생육에 긍정적이었음을 딸기 (Kim 등, 2010), 파프리카(Choi 등, 2013, Won 등, 2007), 토마토(Lee 등 2002) 및 엽채류(He 등, 2001) 등에서 보 고한 바 있다(Choi 등, 2004; Morgan, 2011).
공기 순환 덕트를 이용한 근권부 냉방은 인위적인 공 기 유입으로 인해 온실 내부의 공기 흐름에 변화가 생 기고, 이로 인해 덕트 주변의 근권 온도 뿐 아니라 온실 내 지상부 온도 분포와 엽온 등에 영향을 줄 수 있다. 따라서 본 연구는 고온기 파프리카 수경재배에서 근권부 공기 순환 덕트를 설치하고 냉방하였을 때 냉방 시간에 따른 온실과 작물 온도, 덕트 위치와 송풍 방향에 따른 작물 부위별 온도 및 파프리카 생육에 미치는 영향을 알아보고자 수행하였다.
재료 및 방법
공시 작물은 적색계 파프리카(Capsicum annum L.) ‘Veyron’ (Enza zaden, Netherlands)이며, 냉방 유무에 따라 온실을 분리하여 서로 다른 서울시립대 유리온실에 서 수행하였다. 파프리카는 자체 제작한 앵글(바닥으로 부터 높이 40cm) 위에 유기배지 슬라브(20(W)×100(L) ×12(H)cm)를 4개 올려놓고 2줄로 1조씩 4조 배열하였으 며, 통로간 간격은 80cm로 하여 비순환식 방식으로 수 경재배 하였다. 암면 블록에 육묘(본엽 10~12매 전개)된 파프리카는 2013년 4월 19일 충분히 포수된 코코넛코이 어 배지(chip:dust=5:5(v/v), Shinsung Minerals Co., SriLanka)에 슬라브당 3주씩 심고, 2줄기 유인하면서 분 지마다 본엽 1매를 남기고 측지를 적심하면서 9월 20일 까지 재배하였다. 배양액은 네덜란드 파프리카 배양액을 사용하였고, 양액은 타이머를 이용하여 일출 2시간 후부 터 일몰 2시간 전까지 공급하였다. 1회 양액 공급량은 주당 100~120mL씩 날씨와 생육 단계에 따라 1일 8~15 회, 급액 EC 3.0~2.2dS·m-1를 달리하였으며, 급액 pH 5.8±0.2로 조정하면서 재배하였다.
공기 순환 덕트 근권부 냉방은 고정압 덕트형 에어컨 (Samsung DVM-S, Samsung, Korea)을 이용하여 2013년 5월 27일부터 8월 31일까지 실시하였다. 온실 외부에는 실외기(ADX100VGHHA1, 냉방용량 29kw, Samsung, Korea)를, 온실 내부에는 실내기(AVXDUH100B3, Samsung, 냉방용량 10kw, Korea)와 연결된 에어덕트를 통로 바닥에 설치한 후 파프리카 근권부위(바닥으로부터 40cm 높이)에 에어컨 온도센서를 두고 설정온도(주간: 20°C, 야간: 18°C) 이상이 되면 찬 공기가 공급되도록 하 였다. 덕트는 지름 20cm의 폴리에틸렌 필름 덕트를 사용 하였고, 20cm 간격으로 1.5cm2의 송풍구를 45° 방향으로 뚫어 찬 공기가 빠져나가게 하였다(Fig. 1A). 바닥부의 평 균풍량은 0.59m·s-1였다(Testco 425, Testco, Germany). 냉 방시간 처리는 24시간 연속 가동한 연속냉방(All-day), 17 시부터 다음날 1시까지 8시간 냉방한 야간냉방(Night), 대 조구인 냉방 무처리(Control) 등 3 처리 하였다.
냉방시간 처리에 따른 온도 영향을 알아보고자 지상부 온도, 근권온도 및 엽온을 측정하였다. 지상부 온도는 바 닥으로 부터 40cm(배지 부근)와 180cm(식물체 상단부) 위 치에 각각 온습도센서(SHT-110, Mirae Sensor, Korea)를 설치한 후 측정하였으며, 근권 온도는 작물과 작물사이에 FDR 센서(CoCo Sensor, Mirae Sensor, Korea)를 상부에서 수직으로 꽂아 측정하였다. 모든 데이터는 10분 간격으로 계측되어 데이터 로거(WP700, Mirae Sensor, Korea)에 자 료를 수집하였다. 처리에 따른 측정 자료는 6월 1일부터 8월 31일까지 일일 평균 온도, 최대온도, 최소 온도로 정 리하여 월별 분석에 활용하거나, 하루 중 온도 변화(맑은 날, 최대일사량 678W·m2) 분석에 이용하였다.
냉방시간 처리에 따른 엽온은 휴대용 적외선 온도계 (Testo 830-T1, Testo, Germany)를 이용하여 7월 26일 오전 9시, 오후 2시, 오후 7시 3회에 걸쳐 파프리카 생장점으로 부터 1~3마디를 상부, 7~9마디를 중간, 13~15 마디를 하 부로 나누어 6반복하여 측정하였다. 온실 내 온도 분포는 적외선 카메라(FLIR T400, FLIR, U.S.A.)를 이용하여 8월 12일 오전 9시, 오후 2후, 오후 7시에 각각 촬영하였다.
덕트의 송풍 방향에 의한 위치별 온도 변화를 알아보 고자 연속 냉방 처리에서 통로 사이 덕트의 송풍구 45° 상향 외에 180° 평행 또는 베드 하단에 90° 상향으로 3 처리하였다(Fig. 1). 8월 15일에 바닥부, 근권부 및 식물 체(지제부 기준 높이 100cm와 200cm)의 각 위치별 온도 는 열전대 온도센서를 CR10X data logger에 연결한 후 15분 간격으로 계측하였고, 지상부에 노출된 식물체 온도 측정을 위해 직사광선을 피하고자 알루미늄 은박지 등으 로 복사막이를 설치하였다(Fig. 2).

Fig. 1.
The air duct (AD) was laid either within the greenhouse passage adjacent the substrate slab (A), or within the space underneath the slab (B) for lowering temperature of slabs located at 40cm above the floor. For the duct placed at the passage adjacent the slab, the direction of wind blowing was either upstream at 45° or horizontal at 180°. For the duct placed at the space underneath the slab, the direction of wind blowing was perpendicular at 90°.
공기순환 덕트 근권부 냉방 시간에 따른 파프리카 생 육은 7월 4일부터 첫 수확이 시작되면서 매주 1회 각 처 리구에서 과실을 수확하여 100g 이상인 과실을 대상으로 9월 23일까지 수확된 과실의 평균 과중, 과수, 과육 두께, 당도 및 수량을 측정하였다. 냉방시간 처리에 따른 기관 분배율을 조사하고자 9월 23일 5주의 식물체를 수확하여 잎, 줄기, 과실의 생체중을 측정하고, 세 기관 무게의 합 을 기준으로 각 기관의 분배율을 산출하였다.
통계분석은 SAS package(Statistical Analysis System, version 9.3, SAS Institute Inc.)를 이용하여 5% 유의수 준에서 Duncan’s multiple range test (DMRT)를 실시하 여 유의성을 검정하였다.
결과 및 고찰
고온기(6~8월) 공기순환 덕트를 이용한 근권부 냉방시 간 처리에 따른 식물체 주변 온실 위치별 월평균 온도 는 덕트로부터 가까운 바닥 위 40cm 하부 온도가 180cm 식물체 상부 온실 온도보다 낮았으며, 연속냉방 처리에서 가장 낮았다(Table 1). 대조구의 바닥 위 40cm 하부 온실 온도는 27.4~28.4°C였으며, 180cm 상부 온실 온도는 27.5~29.2°C로 계측되어 위치에 따른 온도 차이가 적었으 나, 연속냉방 처리에서는 40cm 하부 온실 온도가 22.7~23.7°C, 180cm 상부 온실 온도는 25.0~26.3°C, 야간 냉방 처리에서는 40cm 하부 온실 온도가 24.0~24.6°C, 180cm 상부 온실 온도는 25.3~26.8°C로 계측되었다. 이는 대조구와 비교해서 연속냉방 처리의 하부/상부 온도 4.4~5.1°C/2.1~3.1°C 하강을, 야간냉방 처리의 하부/상부 온도를 각각 3.4~3.8°C/2.2~2.7°C 하강시켜 근권부 덕트 냉방은 지상부 상·하부 온도 하강에 영향을 주었으며, 연속냉방 처리는 상·하부 온도 차이가 컸다.
Table 1.
The average air temperatures at the height of 40 and 180cm above the floor in a greenhouse as affected by the air duct cooling timing the root zone during hot temperature period. The air duct was laid the greenhouse passage adjacent the substrate slab with upstream air blowing at 45°.
| Treatmentz | Greenhouse temperature (°C) | ||
|---|---|---|---|
| June | July | August | |
| 180 cm above the floor | |||
| Control | 28.1±1.8y | 27.5±1.9 | 29.2±1.6 |
| All-Day | 25.0±3.8 | 25.4±2.7 | 26.3±3.4 |
| Night | 25.4±5.6 | 25.3±3.2 | 26.8±3.6 |
| 40 cm above the floor | |||
| Control | 27.8±1.5 | 27.4±1.7 | 28.4±2.2 |
| All-Day | 22.7±4.3 | 23.0±1.9 | 23.7±1.7 |
| Night | 24.3±5.2 | 24.0±2.7 | 24.6±3.3 |
공기순환 덕트 근권부 냉방시간 처리에 따른 고온기 월평균 근권온도는 대조구(27.7°C) > 야간냉방(24.1°C) > 연속냉방(22.8°C) 처리 순으로 낮았다(Table 2). 대조 구의 6월 ~8월동안 월평균 근권온도는 파프리카 적정 온도 범위보다 높은 27.7°C(27.4~28.2°C)였고, 최고 근권 온도는 31°C, 최소 근권 온도 24.0°C로 나타나, 배지 내 최고온도와 최소온도 간 차이가 5.2°C(7월)~7.0°C(8월)로 높았다. 6월 월평균 근권온도가 연속냉방 처리에서는 22.0°C로 대조구에 비해 5.6°C 하강 효과가 있었으며, 야간냉방 처리에서는 4.1°C 하강 효과가 나타났다. 7월 과 8월 중 월평균 근권온도도 연속냉방 처리에서는 23.1°C, 23.4°C였으며, 야간냉방 처리에서는 24.0°C, 24.7°C로 나타나 대조구 근권온도보다 연속냉방은 각각 4.3°C, 4.8°C 낮추었고, 야간냉방은 각각 3.4°C, 3.5°C 낮추었다. 그러나 연속냉방과 야간냉방 처리 간 6월, 7 월, 8월 각각의 평균 근권온도 차이는 크지 않았으며, 최대온도와 최소온도 간 차이도 각각 0.4°C, 0.3°C, 0.5°C로 적었다.
Table 2.
The daily average (A), maximum (B) and minimum (C) temperatures in the substrate slabs as affected by the air duct cooling timing in the root zone during hot temperature period. The air duct was laid the greenhouse passage adjacent the slab with upstream air blowing at 45°.
| Treatmentz | Substrate temperature (°C) | Temperature difference(°C) | |||||
|---|---|---|---|---|---|---|---|
| Average (A) | Max. (B) | Min. (C) | B-A | C-A | B-C | ||
| June | |||||||
| Control | 27.6±1.5y | 31.0 | 24.1 | 3.4 | -3.5 | 6.9 | |
| All-day | 22.0±0.8 | 24.7 | 20.7 | 2.7 | -1.3 | 4.0 | |
| Night | 23.5±0.9 | 25.0 | 21.4 | 1.5 | -2.1 | 3.6 | |
| July | |||||||
| Control | 27.4±1.4 | 30.1 | 24.9 | 2.7 | -2.5 | 5.2 | |
| All-day | 23.1±0.9 | 25.7 | 21.7 | 2.6 | -1.4 | 4.0 | |
| Night | 24.0±1.1 | 26.1 | 22.4 | 2.1 | -1.6 | 3.7 | |
| August | |||||||
| Control | 28.2±2.0 | 31.0 | 24.0 | 2.8 | -4.2 | 7.0 | |
| All-day | 23.4±1.2 | 25.8 | 21.7 | 2.4 | -1.7 | 4.1 | |
| Night | 24.7±1.1 | 27.4 | 23.8 | 2.7 | -0.9 | 3.6 | |
월평균 근권온도는 바닥 위 40cm 지상 하부 온도와 유사한 결과를 나타냈다(Table 2A, Table 1). 한편 야간 냉방 처리는 오후 5시부터 다음 날 새벽 1시까지 18°C 를 유지하도록 냉방한 처리로 야간시간 근권온도 하강은 주간시간 냉방이 이루어지지 않는 낮 시간대 배지 근권 온도 상승을 늦추는 효과(Choi 등, 2013)를 보였다. 즉 주간시간 복사광량에 따른 냉방부하가 큼을 고려할 때, 온도가 하강하는 야간시간 냉방이 상·하부 온도 및 근 권온도 하강에 영향을 주고 파프리카 적정 온도인 21~26°C(Morgan, 2011)를 크게 상회하지 않아 에너지 효율를 고려할 때 야간냉방이 효과적일 수 있음을 시사 하였다. 이러한 결과는 야간시간 XL 파이프를 이용한 냉수 순환 근권 냉방(Choi 등, 2014)과 공기순환 덕트 냉방(Choi 등, 2013) 처리에서 무 냉방에 비해 고온기 (7~8월) 근권온도가 3~5.6°C 낮아졌다는 결과와 같은 경 향을 보였다.
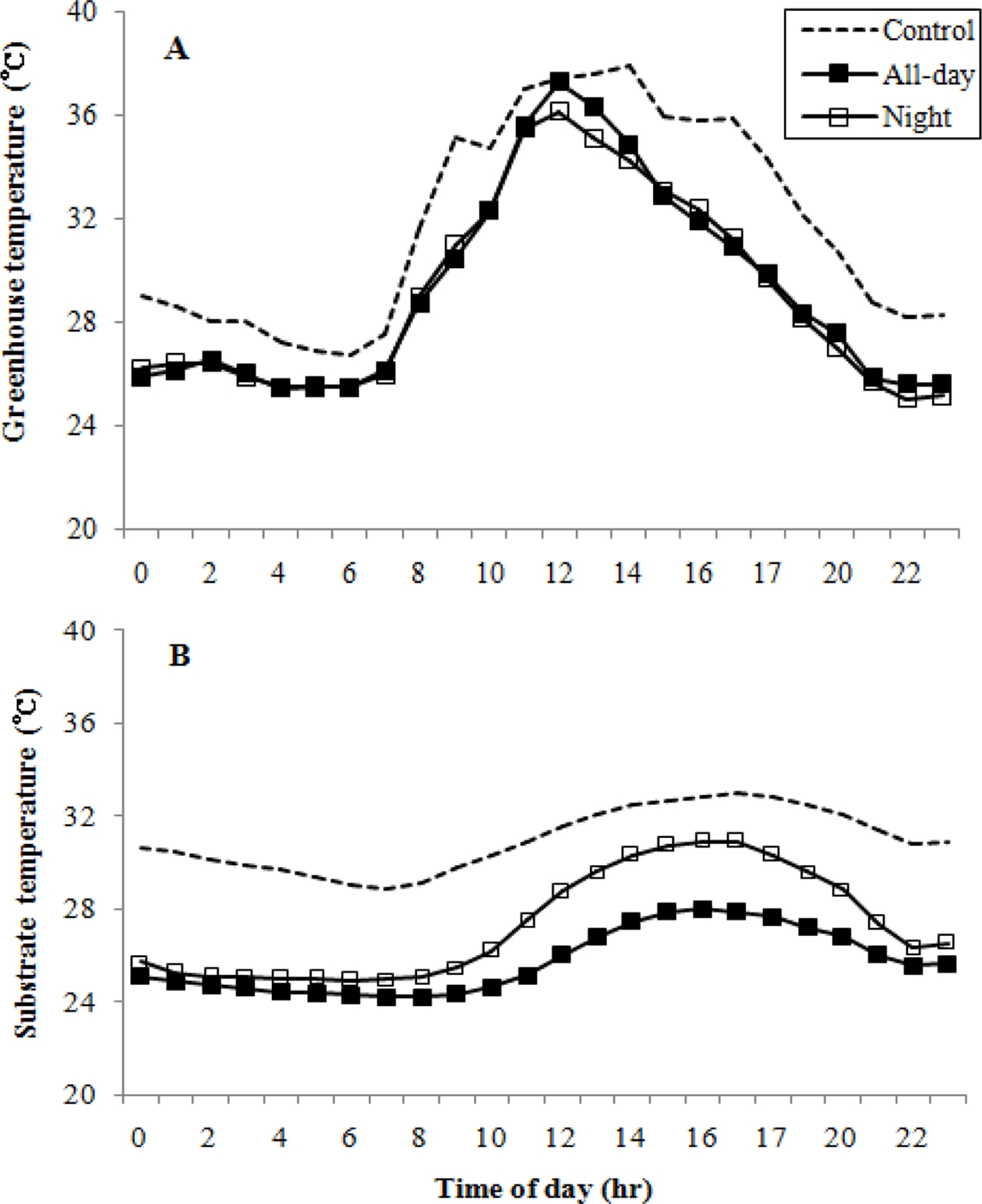
8월 12일(맑은 날, 최대일사량 678W·m2) 온실 내 온 도(바닥으로부터 180cm 상부)와 근권온도의 하루 중 변 화는 냉방처리에서 온실온도와 근권온도가 낮아졌다(Fig. 3). 대조구의 온실 내 온도는 일출과 함께 온도가 급격 히 증가하여 오후 2시 37.9°C로 가장 높았으며, 오후 8 시에도 30.7°C의 고온을 보였다. 그러나 연속냉방과 야 간냉방 처리의 온실 내 온도는 정오에 최고점을 보였으 며, 냉방시간 처리간 온도 차이는 적었다. 그러나 배지 내 일일 온도 변화는 냉방시간 처리에 따라 차이를 나 타내어 오전 9시 이후 처리 간 근권온도가 점차 커져 오후 5시 3°C 차이를 보였다. 야간냉방 처리는 냉방이 시작되는 오후 5시 이후 오후 7시까지는 근권온도가 0.5°C/h 하강, 오후 9시까지는 1°C/h이상 하강한 후 새벽 시간(0~6시)에는 연속냉방 처리와 비교할 때 근권온도 차이가 적어졌다. 이 결과는 파프리카 재배에서 야간시 간(17시부터 03시까지) 덕트 냉방했을 때 오후 6시에서 8시까지 초저녁 근권온도 하강속도가 0.5°C/h였다는 결 과(Choi 등, 2013)와 같았다. 한편 냉방 방식에 따라 배 지 내 상·하부 근권온도 하강은 차이가 있으나, 근권부 냉방으로 하루 중 최고 근권온도에 도달하는 시간이 오 후 4~5시로 무 냉방에 비해 온도 상승시간이 지연되었 다는 결과(Choi 등, 2014; Lee 등 2002)를 보고하여 확 인할 수 있었다.
연속냉방 처리에서 덕트 위치와 송풍구 방향에 따른 온실 내 위치별 하루 중 온도변화는 차이를 보였으나, 16시에 최고 온도를 기록하였다(Fig. 4). 덕트의 위치가 통로에 위치하고 송풍방향을 상향(45°, Fig. 4A) 또는 수평(180°, Fig. 4B)한 처리는 지상 100cm 높이까지는 차이가 크지 않았고 근권부위 온도인 지상 50cm 온도가 낮은 특징을 보였다. 한편 베드와 베드 공간 사이로 덕 트 송풍 방향이 직각이였을 때(Fig. 4C)는 바닥과 지상 50cm 부위 온도는 높고 지상 100cm 이상 200cm 부위 온도는 상대적으로 낮았다. 이는 베드와 베드 공간 사이 로 덕트 송풍 방향이 직각으로 상향함에 따라 근권부위 온도를 낮추지 못하여 바닥에서 100cm까지 계측된 온도 는 덕트가 통로에 위치한 처리((Fig. 4A, 4B)보다 높아 덕트 위치와 송풍 방향에 따라서 식물체 위치별 온도는 달라질 수 있어 en 요인이 작물 생육의 영향인자로 작 용할 수 있으리라 생각되었다.

Fig. 4.
The diurnal changes of temperature at the height of 0, 50, 100, or 200 cm above the floor in a greenhouse, of which average temperature was 27. The air duct was laid either within the greenhouse passage adjacent the substrate slab with upstream air blowing at 45° (A) or horizontal at 180° (B), or within the space underneath the slab with perpendicular air blowing at 90° (C). The data were collected from a representative day, the 15th of August in 2013 in the All-day treatment.
일반적으로 규모화된 Gully System이 설치된 과채류 온실에서는 베드 하단에 덕트를 두고 강제 외기를 공급 하면서 통로를 작업 공간으로 활용하는 데, 본 실험에서 와 같이 90° 방향으로 송풍구를 둘 경우 지상부 온도 하강 효과는 있으나, 근권부 온도 하강에는 상대적으로 영향이 적어질 수 있으리라 본다. 또한 대부분의 과채류 온실은 슬라브 2줄을 1조로 바닥에 두어 재배하고 있어 슬라브 사이에 덕트를 설치할 경우는 송풍 방향을 180°~45°로 두는 것이 근권부 하강을 통한 식물체 상부 온도 하강에 효과적이라 판단된다. 그러나 덕트의 구멍 으로부터 저온 건조한 공기를 내보내는 강제환기 방식은 온도 하강(Na 등, 2011) 뿐 아니라 온실 내 습도에도 영 향을 주고 이는 작물 증산에 제한 인자가 될 수 있으므 로, 추후 위치, 송풍 방향 뿐 아니라 풍속 등을 고려하 여 위치별 온도 및 작물 생육 분석 결과가 보다 면밀히 제시되어야 할 것이다.
근권냉방 시간에 따른 위치별, 시간별 엽온을 측정한 결과는 Fig. 5과 같이, 대조구에서는 28.4°C(오전 9시, Fig. 5A)~34.8°C(오후 2시, Fig. 5B), 연속냉방 처리에서 는 23.6°C(오후 7시, Fig. 5C)~29.6°C(오후 2시, Fig. 5B), 야간냉방 처리에서는 24.6(오후 7시, Fig. 5C)~33.4°C(오후 2시, Fig. 5B)로 연속냉방 처리에서 엽 온이 가장 낮았다. 오전 9시와 오후 7시에 측정한 엽온 이 대조구에서는 오전 9시 엽온이 낮았으나, 냉방 처리 는 오후 7시 측정한 엽온이 낮아 덕트에 의한 근권부 냉방이 파프리카 엽온에 영향을 주었다. 식물체 위치에 따라서도 대조구는 바닥으로부터 80cm 부근의 하부 엽 온이 높았으나, 냉방처리는 야간냉방 처리 오후 2시 측 정된 엽온을 제외하고는 하부에서 지상부로 갈수록 엽온 이 높아져 근권부 덕트 냉방에 의한 효과가 나타났다. 오후 2시 측정된 연속냉방 처리의 엽온은 야간냉방 처 리보다 낮았으나, 광량 증가에 따른 온실 내 복사열로 인해 주간 시간 고온은 엽온 하강 효과가 크지 않은 것 으로 보였다.

Fig. 5.
The leaf temperature as affected by the air duct cooling timing of root zone. The measurement of leaf temperature was carried at 9 a.m. (A), 2 p.m. (B), and 7 p.m. (C) after selecting leaves grown in the location of 80 ±10cm (bottom), 120±10cm (Middle), and 180±10cm (Top) above the base of stem. The vertical bars are standard deviations. The data were collected from a representative day, the 26th of July in 2013.
적외선 카메라를 사용하여 덕트를 이용한 근권부 냉방 방식에 따른 온실 내 온도 분포를 촬영한 결과 연속냉 방 처리에서 가장 낮은 온도분포를 보였다(Fig. 6A). 대 조구의 온도는 오후 2시 매우 높아 40o를 넘었으며(Fig. 6B) 일몰 즈음인 저녁 7시 파프리카 상부 온도도 냉방 처리에 비해 고온(Fig. 6C)인 것으로 촬영되었다. 오후 2시 파프리카 상부 온도는 연속냉방 처리에서 가장 낮았 으며, 오후 7시 냉방 처리구의 상부 온도는 대조구에 비 해 하강한 것을 확인할 수 있었으며, 야간냉방 처리는 온실 상부와 파프리카 상부 온도를 하강시켜 연속냉방 처리와 온도차이가 없었다.
파프리카 수확이 시작된 7월 4일부터 9월 23일까지의 과실 특성은 연속냉방 처리에서 주당 과수, 수량이 가장 높았으며, 야간냉방에서도 대조구에 비해 과중, 과수, 수 량이 높아 근권부 덕트 냉방은 고온기 파프리카 수량 증대에 효과적이었다(Table 3).
Table 3.
Fruit characteristics of paprika as affected by the air duct cooling timing in the root zone during hot temperature period. Plants harvested from 4th of July to 23th of September in 2013.
파프리카 기관 분배율을 측정한 결과 과실 분배율은 연속냉방 > 야간냉방 > 대조구 순으로 높았고, 줄기와 잎의 분배율은 대조구 > 야간냉방 > 연속냉방 순으로 높아 냉방 시간에 따른 기관 분배율이 차이를 보였다 (Fig. 7). 근권부 덕트 냉방은 과실로의 분배율을 높였으 며 연속냉방에서는 가장 높은 수량을 얻을 수 있었다. 대조구는 지상부 잎과 줄기의 영양 생장이 우세하여 과 실로의 동화산물 분배율을 낮추어 과중, 과수 및 수량은 낮고 과육의 두께는 냉방 처리에 비해 얇은 결과를 나 타냈다.
Choi 등(2014)은 XL파이프를 이용한 근권냉방으로 근 권온도가 하강하고, 뿌리활력 및 수분퍼턴셜이 높아지더 라도 지상부 온도가 고온(≥ 30°C)에서는 파프리카 착과 가 늦어졌다고 하였으며, Khan과 Passam(1992), Rylski 와 Spigelman(1982)도 고온(≥ 32°C)에서는 낙화 및 낙과 로 파프리카 생산량이 감소된다고 하여, 파프리카 생육 과 수량을 위한 온도 관리는 지상부와 지하부가 적정 범 위에 있어야 한다. 따라서 파프리카 재배 온도가 21~26°C(Morgan, 2011), 24시간 평균온도 목표가 19~21°C임을 고려할 때 본 실험에서 대조구에 비해 덕트 냉방은 고온기 파프리카 근권 및 지상부 온도를 낮춰 생 육에 효과적이었다. 한편 야간냉방 처리는 연속냉방 처리 보다 높았으나 고온기 월평균 지상부와 근권 온도가 파 프리카 생육 적정 범위(Table 1, 2)에 있어 온도 하강에 서는 효과적이었으나, 파프리카 수량은 연속냉방 처리에 비해 낮은 착과수로 평균 과중은 높았으나, 수량이 적었 다. 이러한 결과는 초저녁 냉방시스템 온도를 16°C로 설 정하여 파프리카를 재배하였을 때, 일평균 온도 25.2°C( 대조구)에 비해 처리구 온도가 2.1°C 낮아졌으며, 착과율 을 증가시켜 과실 동화산물의 분배에 효과적이라고 보고 (Lee 등(2011)한 결과와 유사하였다. 즉 식물 생육, 개화, 착과 및 과실 비대는 주/야간 온도 뿐만 아니라 24시간 평균 온도가 크게 관여하고 있어(Bakker, 1989), 연속냉 방 처리에서는 누적되는 24시간 평균온도가 야간냉방 처 리보다 낮아 과실로의 동화산물 분배율을 높이고 파프리 카 수량을 증가시킨 것으로 보인다.






